4. Électricité: Le courant alternatif


Le courant alternatif 


Définition   Déphasage    Cosinus     Impédance    Puissance    Rendement    Résonnance


puce Un mouvement pendulaire d'amplitude constante enregistré à vitesse constante donne une courbe trigonométrique : la sinusoïde.

Un courant électrique dont l'intensité I et la tension U varient périodiquement en fonction du temps de façon sinusoïdale est appelé : courant alternatif.
II est caractérisé:

                                                        2 pi                          2pi
                        - Par sa période T = ----    omega = 2pi = ----.
                                                         
omega                           T

- Par son amplitude : valeurs maximales : I max et U max.
- La pulsation est 
omega = 2pi f,  l'angle décrit par le secteur trigonométrique alpha après le temps t en seconde est:   alpha omega t

periode


- Les valeurs Instantanées sont:

                        It  = Imax sin omega t = Imax .sinalpha
                        Ut = Umax sin 
omega t = Umax.sinalpha


- Les valeurs efficaces données généralement par les instruments de mesure sont:

ui-eff


- Les valeurs moyennes sont:
                                    2 Imax
                        Imoy = ------ = 0,6366 Imax
                                     
fi

                                      2Umax
                        Umoy = ------- = 0,6366 Umax
                                        
fi

La relation entre U et I est fonction de la loi d'Ohm

                        Umax = Imax . R
                        Ueff = Ieff .R.



                        I = Imax.Sin(omega t ± fi )

                        dephasage

fi est la différence de phase entre la tension et le courant, c'est le déphasage; il peut être positif ou négatif.
    Dans un circuit inductif,  
fi est positif : I est déphasé en arrière sur U.
    Dans un circuit capacitif, 
fi est négatif : I est déphasé en avant sur U.


           puce Cosinus fi   (phi)

Lorsqu'un courant alternatif parcourt une résistance, la tension et l'intensité varient simultanément ; leurs effets sont conjugués.


dephase1     La puissance dans une résistance est donc:
                                    P = UI    P en W
  U en V    I en A


Toute l'énergie est utilisée.

Si ce courant alternatif parcourt une bobine, le champ magnétique variable (provoqué par le courant) induit dans cette même bobine un courant alternatif secondaire qui obéit â la loi de LENZ.

L'intensité est en retard, sur la tension. Elles ne sont plus en phase, on dit qu'il y a déphasage. Les effets de la tension et de l'intensité ne se conjugant plus, la puissance demandée au réseau est supérieure â celle nécessaire au travail. I1 y a perte d'énergie.
 

              dephase2         dephase3

On appelle facteur de puissance le cosinus fi de l'angle de déphasage formé par les vecteurs d.d.p et intensité.


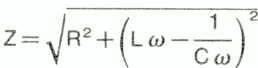
R est une résistance pure dans un circuit continu ou alternatif. Z est la résistance d'un circuit alternatif affecté d'un déphasage (impédance):

                        impedance

                                                                            1
X = réactance en ohms = Lomega - ----
                                                                           Comega
                                                                                  1

Lomega = réactance inductive et ---- = réactance capacitive (en ohms).
                                                                         Comega

La loi d'Ohm en alternatif s'applique en remplaçant R par Z

Umax = ZImax, Veff = ZIeff.


Dans un circuit sans déphasage (fi = 0)
                                                  Umax . Imax
                              P = Ueff . Ieff, P = -------------
                                                       2

Si l'on considère les formules de base:

a)   P = UI où  P, la puissance cherchée est en Watt
     U, la D.D.P. (différence de Potentiel en Volt,) aux bornes de la résistance, et
     I , l'intensité du courant traversant le circuit;

b)   U = RI  
1ère loi d'ohm où U = D.D.P., R =
résistance en ohm et I l'intensité en ampères dans le circuit;       

On peut donc déduire de ces deux formules:

P = UI      et     U = RI
P = RI²     et     P =
                       R

Dans un circuit affecté d'un déphasage

                          P = Ueff. Ieff . Cos .fi

cosfi = facteur de puissance, c'est le cosinus de l'angle de déphasage R/Z.

- Puissance apparente      Pa ou S = U.I en VA (volt-ampère).
- Puissance active         P       = U.I cos
fi en W (watt).
- Puissance réactive       Pr ou Q = U.I sin 
fi en var.
- Intensité wattée         I       = I cos
fi (A).
- Intensité déwattée       I       = I sin
fi (A).
- F.é.m. énergétique       E       = E cos
fi (V).
- F.é.m. en quadrature     E       = E sinfi
(V).

Tableau des impédances, déphasages et puissance en fonction des éléments d'un circuit.

b4-35
b4-36


RENDEMENT d'UN MOTEUR ÉLECTRIQUE


DÉFINITION :

le rendement d'un moteur électrique est le rapport de la puissance qu'il développe, sur la puissance absorbée.

l Ch = 736 watts

1) Exemple:

Un moteur fonctionnant sous 220 V et consommant une intensité de 8 A développe une puissance réelle de 2 Ch.
- Quel est son rendement ?

        Réponse: Puissance absorbée: P = UI = 220 x 8 = 1 760 W

                 Puissance réelle: 736 x 2 = 1 472 W

                 Rendement ( Rt ): 1472 = 0,83 ou 83 %
                                   1760



2) Exemple

Quelle est la puissance réelle d'un moteur qui fonctionne sous 220 V, 10 A, avec un rendement de 72 %

        Réponse: Puissance absorbée: P = UI x 220 x 10 = 2200 W

                 Puissance réelle: 2200 x 72  ou 2200 x 0,72 = 1584 W
                                      100
                                             

                 Puissance réelle en Ch: 1584 = 2,15 Ch
                                         736



Impédance:impedancez

Trois cas possibles : (sens trigonométrique inverse des aiguilles d'une montre).

(1) lw est plus grand que1-cw , le circuit est inductif, I est déphasé en arrière sur la tension.

(2) lw est plus petit que 1-cw , le circuit est capacitif, I est déphasé en avant sur la tension. 

(3)lw est égal à 1-cw il n'y a plus de déphasage, le circuit est en résonance série : Z = R; I est maximal.
Par contre les tensions aux bornes de L et C sont:

                        lw
I et 1-cw

qui peuvent être beaucoup plus grandes que RI.

Le coefficient de surtension, ou l'indice de qualité Q est:
           
                        lw-r
pour la self-induction et 1-crw pour la capacité.

b4-37

C'est le nombre de fois qu'il faut multiplier la tension de la source U pour obtenir la tension aux bornes de la self-induction ou aux bornes de la capacité.

b4-38

L et R sont en parallèle sur C, la résolution graphique s'opère en raisonnant sur les intensités qui parcourent les deux branches pour en tirer l'intensité totale.

Si U est la tension de la source, Ic = UCw déphasée de 90° en avant sur U, l'intensité dans la bobine et dans la résistance:

                        il=

zl=   ; IL est déphasée en arrière sur U d'un angle fi donné par

                        tg=

On trace une droite horizontale U origine des déphasages. A partir de O on porte le vecteur IL déphasé en arrière d'un angle fi (A). On trace ab perpendiculaire à l'horizontale U, déphasé de 90° en avant, proportionnel à Ic. On obtient ob proportionnel à It et déphasé de l'angle alpha par rapport à U.

Trois cas possibles:

(1) ulw-zl2 est plus grand que UCw , le circuit est inductif, It est déphasé en arrière sur U.

(2) ulw-zl2 est plus petit que UCw , le circuit est capacitif, It est déphasé en avant sur U.

(3) ulw-zl2 est égal à UCw , le circuit est en résonance parallèle.

It est en phase avec U, le courant dans le circuit est le plus faible. Si R est très petit, on peut le négliger. La condition de résonance devient:
                        reson

                                                                                                           U
l'impédance à la résonance est : ZR = ----- .
                                       It

Si R n'est pas négligeable:

                              RUC            L

                        It = ------ et ZR = -----.

                               L            RC


b4-39

Ici le facteur Q multiplie le courant dans le circuit pour trouver le courant dans les éléments. L'impédance du circuit est élevée à la résonance; le courant dans L et C est grand, tandis que le courant total est faible.

L'angle de perte du circuit est : tg
Plus la qualité du circuit est grande, plus l'angle de perte est petit.


freq_reson

d'ou:f= (formule de Thomson).
f en hertz lorsque L en henry et C en farad.



b4-40




  Accueil   Retour   Haut de la page